Connect with us

ΕΠΙΚΑΙΡΟΤΗΤΑ

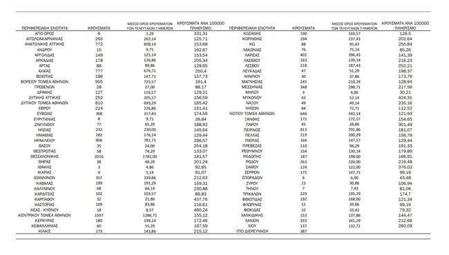
Κρούσματα σήμερα: 18.605 νέα ανακοίνωσε ο ΕΟΔΥ – 80 θάνατοι και 470 διασωληνωμένοι

blank

Δημοσιεύτηκε

στις

176
blank

Ο ΕΟΔΥ ανακοίνωσε 18.605 νέα κρούσματα, εκ των οποίων 42 εντοπίστηκαν κατόπιν ελέγχων στις πύλες εισόδου της χώρας.
Ο συνολικός αριθμός των κρουσμάτων ανέρχεται σε 2.274.025 (ημερήσια μεταβολή +0.8%), εκ των οποίων 49.7% άνδρες. Με βάση τα επιβεβαιωμένα κρούσματα των τελευταίων 7 ημερών, 339 θεωρούνται σχετιζόμενα με ταξίδι από το εξωτερικό και 2.213 είναι σχετιζόμενα με ήδη γνωστό κρούσμα.
Οι νέοι θάνατοι ασθενών με COVID-19 είναι 80, ενώ από την έναρξη της επιδημίας έχουν καταγραφεί συνολικά 25.183 θάνατοι. Το 95.0% είχε υποκείμενο νόσημα ή/και ηλικία 70 ετών και άνω.
Ο αριθμός των ασθενών που νοσηλεύονται διασωληνωμένοι είναι 470 (62.3% άνδρες). Η διάμεση ηλικία τους είναι 67 έτη. To 86.2% έχει υποκείμενο νόσημα ή/και ηλικία 70 ετών και άνω. Μεταξύ των ασθενών που νοσηλεύονται διασωληνωμένοι, 349 (74.26%) είναι ανεμβολίαστοι ή μερικώς εμβολιασμένοι και 121 (25.74%) είναι πλήρως εμβολιασμένοι. Από την αρχή της πανδημίας έχουν εξέλθει από τις ΜΕΘ 4.193 ασθενείς.
Οι εισαγωγές νέων ασθενών Covid-19 στα νοσοκομεία της επικράτειας είναι 372 (ημερήσια μεταβολή -0.8%). Ο μέσος όρος εισαγωγών του επταημέρου είναι 374 ασθενείς.Η διάμεση ηλικία των κρουσμάτων είναι 35 έτη (εύρος 0.2 έως 106 έτη), ενώ η διάμεση ηλικία των θανόντων είναι 79 έτη (εύρος 0.2 έως 106 έτη).

blank

Ακολουθήστε το e-maistros.gr στο Google News και μάθετε πρώτοι όλες τις ειδήσεις
Continue Reading
Advertisement
Σχολιάστε

Leave a Reply

Η ηλ. διεύθυνση σας δεν δημοσιεύεται. Τα υποχρεωτικά πεδία σημειώνονται με *

four + five =