ΕΠΙΚΑΙΡΟΤΗΤΑ
Κατανομή σημερινών κρουσμάτων – 33.176 νέες μολύνσεις – 70 θάνατοι σε 24 ώρες και 639 διασωληνωμένοι
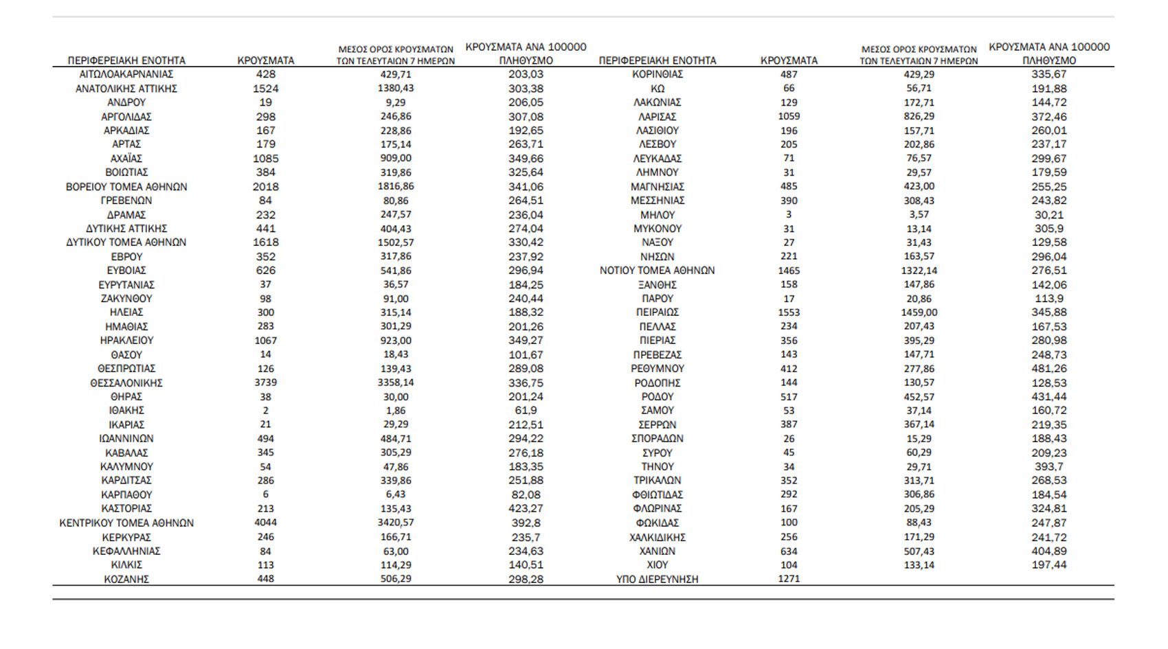
Κρούσματα σήμερα: Τα επιδημιολογικά δεδομένα που ανακοίνωσε ο ΕΟΔΥ για την Πέμπτη 6 Ιανουαρίου.
Παραμένει ιδιαίτερα μεγάλος ο αριθμός κρουσμάτων κορονοϊού που ανακοινώνεται καθημερινά από τον ΕΟΔΥ. Η μετάλλαξη Όμικρον οδηγεί σε τεράστια διασπορά που προβληματίζει την επιστημονική κοινότητα, ειδικότερα από τη στιγμή που αυξάνεται και η πίεση στα νοσοκομεία. Η ημέρα των Θεοφανείων δεν αποτέλεσε εξαίρεση, με δεκάδες χιλιάδες κρούσματα να επιβεβαιώνονται και να καταγράφονται…
Συγκεκριμένα, την Πέμπτη 6 Ιανουαρίου ανακοινώθηκαν 33.176 κρούσματα, ενώ δυστυχώς επιβεβαιώθηκαν 70 νέοι θάνατοι σε ένα 24ωρο. Παράλληλα, στις ΜΕΘ νοσηλεύονται 639 συμπολίτες μας.
Τα στοιχεία που παρουσιάζονται αφορούν περιστατικά από την επιδημιολογική επιτήρηση της νόσου από το νέο κορονοϊό (COVID19), με βάση τα δεδομένα που έχουν δηλωθεί στον ΕΟΔΥ και καταγραφεί μέχρι τις 6 Ιανουαρίου 2022 (ώρα 15:00).
